近日,中国农业科学院农田灌溉研究所非充分灌溉原理与新技术团队利用作物生长模型DSSAT提出华北平原滴灌冬小麦的最优施氮量,为滴灌冬小麦氮素管理提供了科学依据。相关研究成果发表在《农业水管理(Agricultural Water Management)》上。


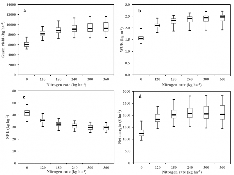
华北平原冬小麦生产中氮肥的不合理施用不仅降低了氮肥的利用效率,而且增加了面源污染的风险。该研究利用两年的实测数据对DSSAT-CERES-Wheat模型进行校正和验证,再加入近40年的历史气象数据,分析不同气象情景下施氮量对滴灌冬小麦产量、水分利用效率、氮肥利用效率和净收益的影响。通过综合分析,研究得出华北平原滴灌冬小麦的施氮量为180 kg/公顷。相比田间试验,该研究充分考虑不同气象情景,可以更科学地为滴灌冬小麦氮素管理提供理论依据,也为氮肥优化管理提供了新的研究方法。
该研究得到了国家小麦产业技术体系、国家自然科学基金和中国农科院科技创新工程等项目资助。
全文链接:https://doi.org/10.1016/j.agwat.2020.106592







